ở cà chua quả màu đỏ là tính trạng trội hoàn toàn so với quả màu vàng.Biết rằng mỗi gen quy định một tính trạng,gen nằm trên NST thường và không xảy ra hiện tượng đột biến khi a) Đem lại 2 thứ cà chua thuần chủng quả vàng và quả đỏ với nhau, đời con lai có kiểu hình như thế nào?
Giải giùm mình ạ ! Hứa vote 5 sao ????

Vì P thuần chủng nên có kiểu gen AA và aa. AA giảm phân tạo giao tử A. aa giảm phân tạo giao tử a. Từ đó tạo ra hợp tử Aa. Vì A trội hoàn toàn so với a nên Aa sẽ có kiểu hình trội là quả đỏ.

Đáp án:
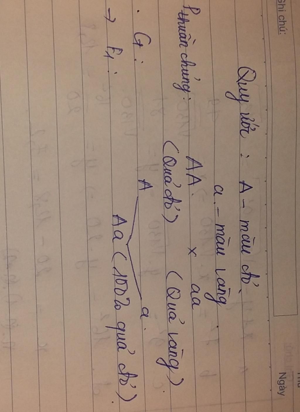
* Quy ước:
A – Qủa đỏ
a – Qủa vàng
– Cây cà chua quả đỏ thuần chủng có kiểu gen AA
– Cây cà chua quả vàng thuần chủng có kiểu gen aa
* Sơ đồ lai:
P: AA × aa
$G_{P}$: A ↓ a
F1: Aa
⇒ Kiểu hình: 100% Cà chua quả đỏ