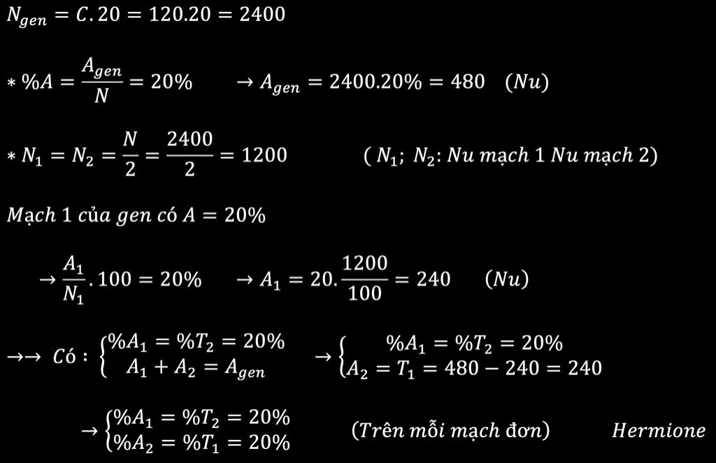
một gen có 120 chu kì xoắn và %A=20%.Mạch 1 của gen có A=20%,mạch 2 có %G=10%
tính tỉ lệ %của từng loại nu trên mỗi mạch đơn
một gen có 120 chu kì xoắn và %A=20%.Mạch 1 của gen có A=20%,mạch 2 có %G=10%
tính tỉ lệ %của từng loại nu trên mỗi mạch đơn
Đáp án:
+ %A = %T = 20%
⇒ %G = %X = 30%
+ %A1 = %T2 = 20%
⇒ %A2 = %T1 = %A – %A1 = 0%
+ %G2 = %X1 = 10%
⇒ %G1 = %X2 = %G – %G2 = 20%
Bạn tham khảo bài
*
*
Thắc mắc thì hỏi nhé